我们专注于开发不同类型的ADC连接子毒素,包括在巯基接头、亲水增强连接子、创新毒素及双毒素组合等方面均有相关经验。

精准分子评估,赋能早期研发
我们专注于开发不同类型的ADC连接子毒素,包括在巯基接头、亲水增强连接子、创新毒素及双毒素组合等方面均有相关经验。
| 序号 | Linker-payload结构式 | 偶联方式 | 建议DAR值 |
|---|---|---|---|
| 1 |
MC-VC-PAB-MMAE
|
巯基化学偶联 | 2-4 |
| 2 |
MC-VC-PAB-Eribulin
|
巯基化学偶联 | 2-4 |
| 3 |
Mal-PEG2-VC-PAB-Eribulin
|
巯基化学偶联 | 2-4 |
| 4 |
MC-GGFG-DXd
|
巯基化学偶联 | 6-8 |
| 5 |
Mal-PEG8-VA-PAB-Exatecan
|
巯基化学偶联 | 4-8 |
| 序号 | Linker-payload结构式 | 偶联方式 | 建议DAR值 |
|---|---|---|---|
| 6 |
Mal-Gly-PAB-Exatecan-D-
|
巯基化学偶联 | 4-8 |
| 7 |
BiM-GLPY-Exatecan
|
巯基硫桥偶联 | 4-8 |
| 8 |
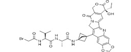
BrAcAm-VA-A-1743332
|
巯基化学偶联 | 4-8 |
| 9 |
GSLP0001,TOP1i-based,高亲水性 |
巯基化学偶联 | 6-8 |
| 10 |
GSLP0002,TOP1i-based,高亲水性 |
巯基硫桥偶联 | 4 |
| 11 |
GSLP0003,TOP1i-based,高亲水性 |
巯基化学偶联 | 6-8 |
| 12 |
GSLP0004,TOP1i-based,高亲水性 |
巯基硫桥偶联 | 4 |


